Essertines en Donzy
Urbanisme
Formalités Administratives
Découvrir Essertines en Donzy
Visiter la commune
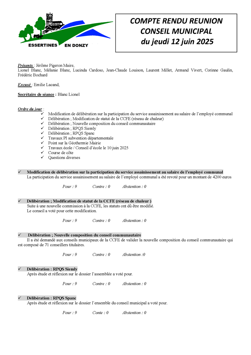
Compte rendu conseil municipal
Pôle services techniques
Pôle service à la population
Salles Municipales à louer
Bulletin
Contact
Entreprises, Commerces & services
Entreprises
Commerces
Services
Associations
Les amis de la bibliothèque
Informations Utiles
Comptes rendus
Contact Bilbliothèque
Les trotte-menu
Comité des fêtes
Association des Familles
L'espérance fanfare
Société de pêche
Société de Chasse
APE
AJED
Gymnastique
Boule de Donzy
Manifestations
Enfance
Ecole
Développement durable
Réduc'eau
Essertines en Donzy
Urbanisme
Formalités Administratives
Découvrir Essertines en Donzy
Visiter la commune
Compte rendu conseil municipal
Pôle services techniques
Pôle service à la population
Salles Municipales à louer
Bulletin
Contact
Entreprises, Commerces & services
Entreprises
Commerces
Services
Associations
Les amis de la bibliothèque
Informations Utiles
Comptes rendus
Contact Bilbliothèque
Les trotte-menu
Comité des fêtes
Association des Familles
L'espérance fanfare
Société de pêche
Société de Chasse
APE
AJED
Gymnastique
Boule de Donzy
Manifestations
Enfance
Ecole
Développement durable
Réduc'eau
ESSERTINES EN DONZY
Compte rendu du conseil municipal
Défiler vers le haut
fermer